四川轻化工大学“电工”五级技能等级认定李白河第7批成绩公示
“20251214-四川轻化工大学-李白河-电工-2025年第7批”职业技能等级认定考评工作已经结束,考评小组按照国家职业标准,本着公平、公正的原则,对所有考生的作品进行了成绩评定,现通过学院网站予以公示。
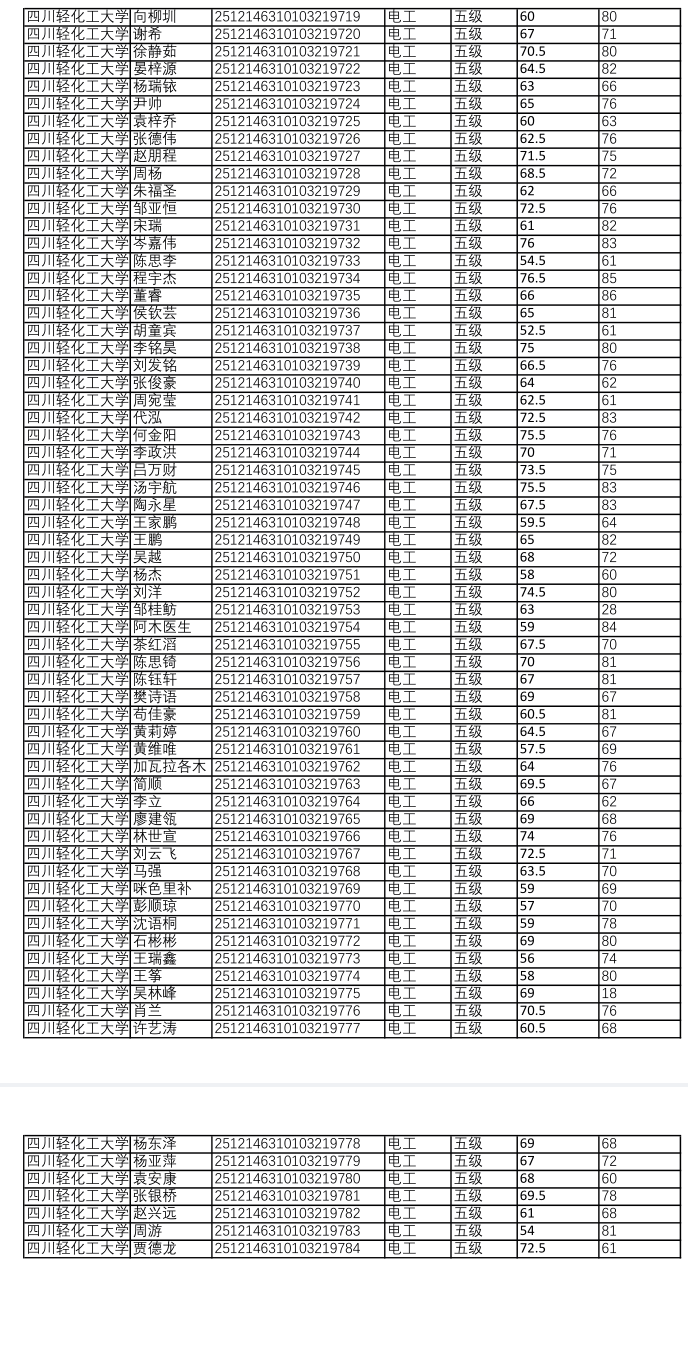
成绩详见表格《20251214-四川轻化工大学-李白河-电工-2025年第7批成绩公示》 。
考生对成绩如有异议,请于2025年12月19日17:00前,向冯雪老师书面反映情况,逾期不再受理。
联系电话:0831-5505298,15808131000
20251214-四川轻化工大学-电工-2025年第7批


